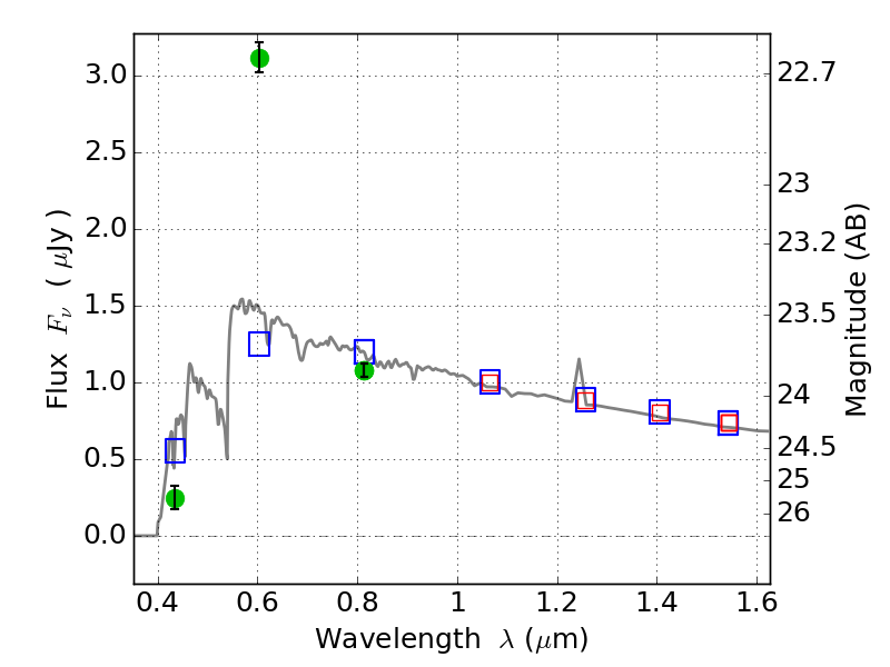
ABELL2163 ACS+IR detection object #6200

Color images and BPZ results
Catalog: 6200.cat
Black segments are analyzed here.   Roll mouse over color images to view segments.
Best viewed in a wide browser window (1200 pixels or more).   Download SED & P(z) plots to view larger versions.
In P(z) plots: Yellow lines mark the cluster redshift z = 0.203,  

Object #6200   x,y = (1954, 2635)   RA, Dec = (16:15:51.624, -6:09:46.80) = (243.96510, -6.16300)   BPZ = 3.440 [3.317--3.549]   type = 11.00 (SB11_A_0_l)   chisq2 = 111.70   ODDS = 1.00   z_cluster = 0.203