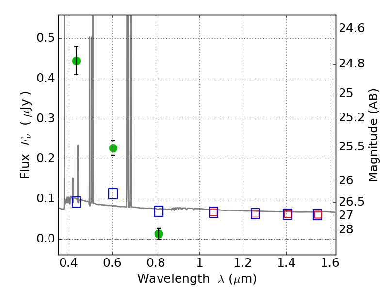
ABELL2163 ACS+IR detection object #5719

Color images and BPZ results
Catalog: 5719.cat
Black segments are analyzed here.   Roll mouse over color images to view segments.
Best viewed in a wide browser window (1200 pixels or more).   Download SED & P(z) plots to view larger versions.
In P(z) plots: Yellow lines mark the cluster redshift z = 0.203,  

Object #5719   x,y = (1761, 2906)   RA, Dec = (16:15:52.416, -6:09:30.24) = (243.96840, -6.15840)   BPZ = 0.021 [0.011--2.116]   type = 11.00 (SB11_A_0_l)   chisq2 = 85.88   ODDS = 0.41   z_cluster = 0.203