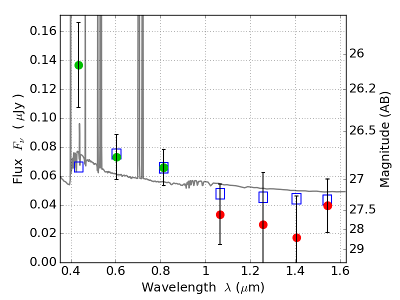
ABELL2163 ACS+IR detection object #5609

Color images and BPZ results
Catalog: 5609.cat
Black segments are analyzed here.   Roll mouse over color images to view segments.
Best viewed in a wide browser window (1200 pixels or more).   Download SED & P(z) plots to view larger versions.
In P(z) plots: Yellow lines mark the cluster redshift z = 0.203,  

Object #5609   x,y = (3610, 2968)   RA, Dec = (16:15:44.976, -6:09:26.64) = (243.93740, -6.15740)   BPZ = 0.066 [0.055--3.145]   type = 11.00 (SB11_A_0_l)   chisq2 = 0.91   ODDS = 0.07   z_cluster = 0.203