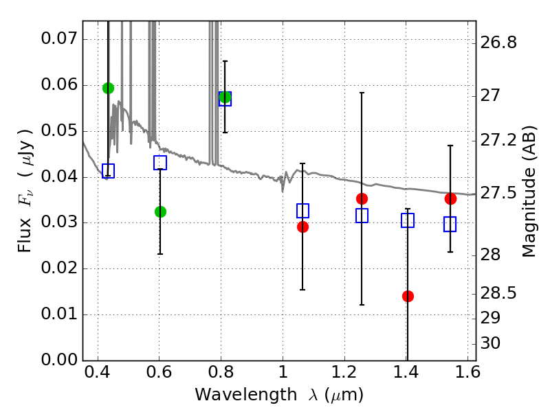
ABELL2163 ACS+IR detection object #5575

Color images and BPZ results
Catalog: 5575.cat
Black segments are analyzed here.   Roll mouse over color images to view segments.
Best viewed in a wide browser window (1200 pixels or more).   Download SED & P(z) plots to view larger versions.
In P(z) plots: Yellow lines mark the cluster redshift z = 0.203,  

Object #5575   x,y = (5402, 2990)   RA, Dec = (16:15:37.776, -6:09:25.20) = (243.90740, -6.15700)   BPZ = 0.171 [0.090--3.198]   type = 11.00 (SB11_A_0_l)   chisq2 = 0.43   ODDS = 0.32   z_cluster = 0.203