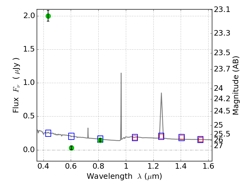
ABELL2163 ACS+IR detection object #5288

Color images and BPZ results
Catalog: 5288.cat
Black segments are analyzed here.   Roll mouse over color images to view segments.
Best viewed in a wide browser window (1200 pixels or more).   Download SED & P(z) plots to view larger versions.
In P(z) plots: Yellow lines mark the cluster redshift z = 0.203,  

Object #5288   x,y = (6087, 3396)   RA, Dec = (16:15:35.016, -6:09:01.08) = (243.89590, -6.15030)   BPZ = 1.588 [1.186--2.164]   type = 11.00 (SB11_A_0_l)   chisq2 = 247.60   ODDS = 0.33   z_cluster = 0.203