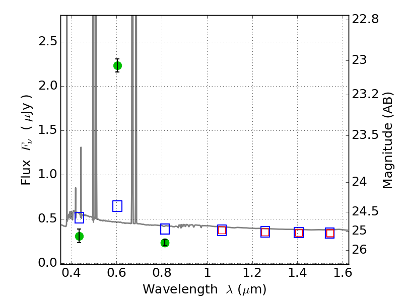
ABELL2163 ACS+IR detection object #5237

Color images and BPZ results
Catalog: 5237.cat
Black segments are analyzed here.   Roll mouse over color images to view segments.
Best viewed in a wide browser window (1200 pixels or more).   Download SED & P(z) plots to view larger versions.
In P(z) plots: Yellow lines mark the cluster redshift z = 0.203,  

Object #5237   x,y = (6298, 3069)   RA, Dec = (16:15:34.152, -6:09:20.52) = (243.89230, -6.15570)   BPZ = 0.016 [0.010--0.032]   type = 11.00 (SB11_A_0_l)   chisq2 = 180.60   ODDS = 1.00   z_cluster = 0.203