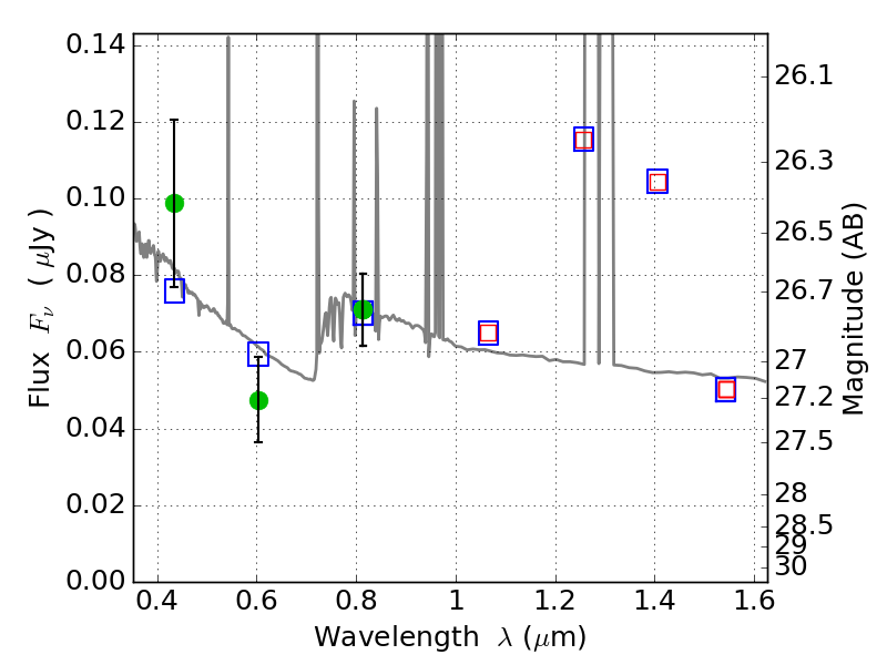
ABELL2163 ACS+IR detection object #5146

Color images and BPZ results
Catalog: 5146.cat
Black segments are analyzed here.   Roll mouse over color images to view segments.
Best viewed in a wide browser window (1200 pixels or more).   Download SED & P(z) plots to view larger versions.
In P(z) plots: Yellow lines mark the cluster redshift z = 0.203,  

Object #5146   x,y = (6059, 3194)   RA, Dec = (16:15:35.112, -6:09:12.96) = (243.89630, -6.15360)   BPZ = 0.938 [0.231--2.607]   type = 11.00 (SB11_A_0_l)   chisq2 = 0.88   ODDS = 0.13   z_cluster = 0.203