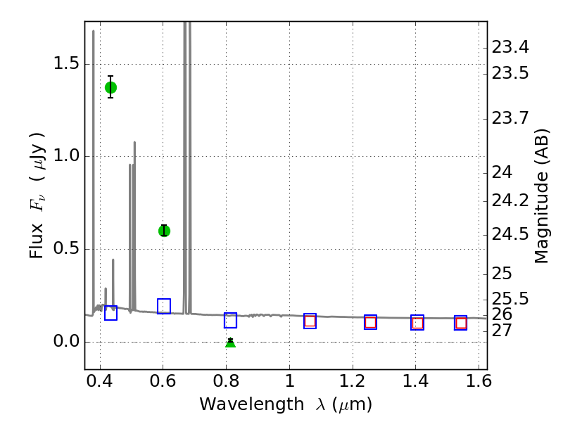
ABELL2163 ACS+IR detection object #4908

Color images and BPZ results
Catalog: 4908.cat
Black segments are analyzed here.   Roll mouse over color images to view segments.
Best viewed in a wide browser window (1200 pixels or more).   Download SED & P(z) plots to view larger versions.
In P(z) plots: Yellow lines mark the cluster redshift z = 0.203,  

Object #4908   x,y = (6121, 3381)   RA, Dec = (16:15:34.872, -6:09:01.80) = (243.89530, -6.15050)   BPZ = 0.018 [0.010--0.036]   type = 11.00 (SB11_A_0_l)   chisq2 = 343.20   ODDS = 1.00   z_cluster = 0.203