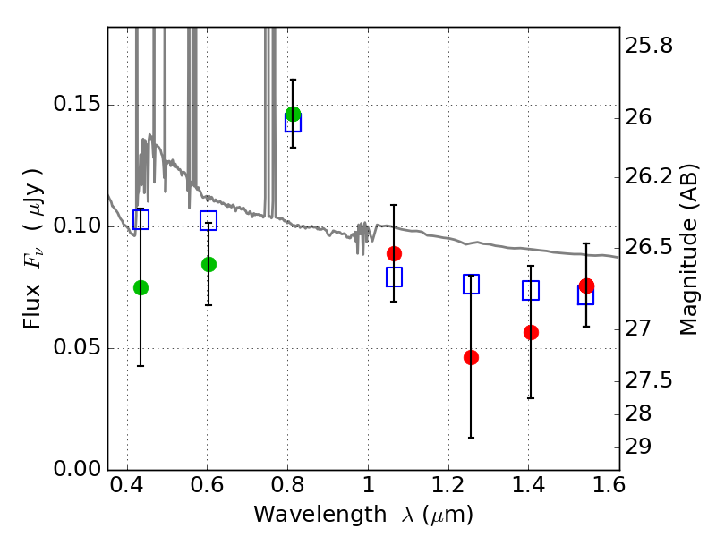
ABELL2163 ACS+IR detection object #4729

Color images and BPZ results
Catalog: 4729.cat
Black segments are analyzed here.   Roll mouse over color images to view segments.
Best viewed in a wide browser window (1200 pixels or more).   Download SED & P(z) plots to view larger versions.
In P(z) plots: Yellow lines mark the cluster redshift z = 0.203,  

Object #4729   x,y = (3972, 3436)   RA, Dec = (16:15:43.512, -6:08:58.56) = (243.93130, -6.14960)   BPZ = 0.140 [0.091--0.297]   type = 11.00 (SB11_A_0_l)   chisq2 = 0.38   ODDS = 0.60   z_cluster = 0.203