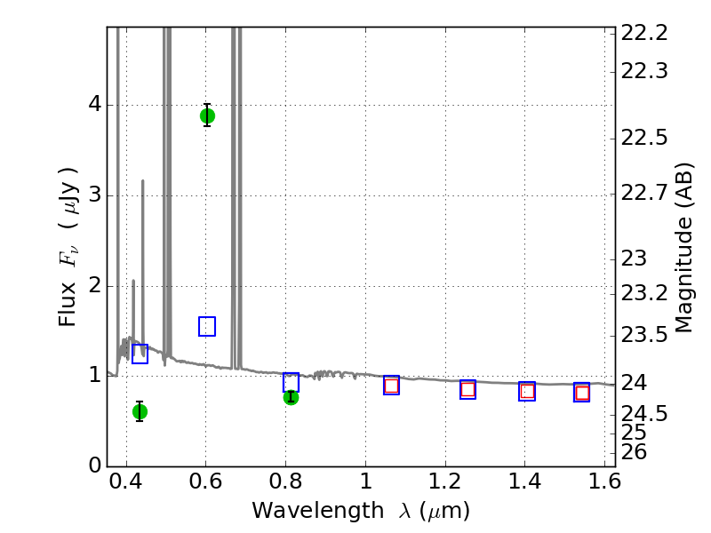
ABELL2163 ACS+IR detection object #4654

Color images and BPZ results
Catalog: 4654.cat
Black segments are analyzed here.   Roll mouse over color images to view segments.
Best viewed in a wide browser window (1200 pixels or more).   Download SED & P(z) plots to view larger versions.
In P(z) plots: Yellow lines mark the cluster redshift z = 0.203,  

Object #4654   x,y = (1517, 3274)   RA, Dec = (16:15:53.400, -6:09:08.28) = (243.97250, -6.15230)   BPZ = 0.016 [0.010--0.031]   type = 11.00 (SB11_A_0_l)   chisq2 = 116.00   ODDS = 1.00   z_cluster = 0.203