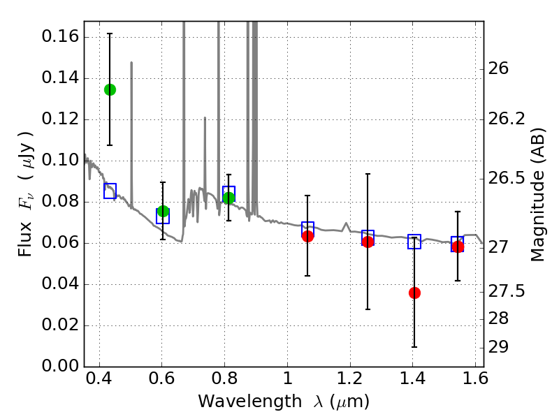
ABELL2163 ACS+IR detection object #4443

Color images and BPZ results
Catalog: 4443.cat
Black segments are analyzed here.   Roll mouse over color images to view segments.
Best viewed in a wide browser window (1200 pixels or more).   Download SED & P(z) plots to view larger versions.
In P(z) plots: Yellow lines mark the cluster redshift z = 0.203,  

Object #4443   x,y = (4225, 3580)   RA, Dec = (16:15:42.504, -6:08:49.92) = (243.92710, -6.14720)   BPZ = 0.799 [0.141--3.077]   type = 11.00 (SB11_A_0_l)   chisq2 = 0.51   ODDS = 0.12   z_cluster = 0.203