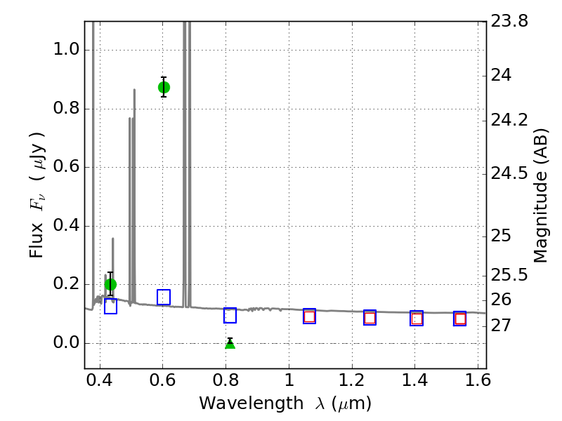
ABELL2163 ACS+IR detection object #444

Color images and BPZ results
Catalog: 444.cat
Black segments are analyzed here.   Roll mouse over color images to view segments.
Best viewed in a wide browser window (1200 pixels or more).   Download SED & P(z) plots to view larger versions.
In P(z) plots: Yellow lines mark the cluster redshift z = 0.203,  

Object #444   x,y = (3514, 984)   RA, Dec = (16:15:45.360, -6:11:25.80) = (243.93900, -6.19050)   BPZ = 0.018 [0.010--0.037]   type = 11.00 (SB11_A_0_l)   chisq2 = 249.00   ODDS = 1.00   z_cluster = 0.203