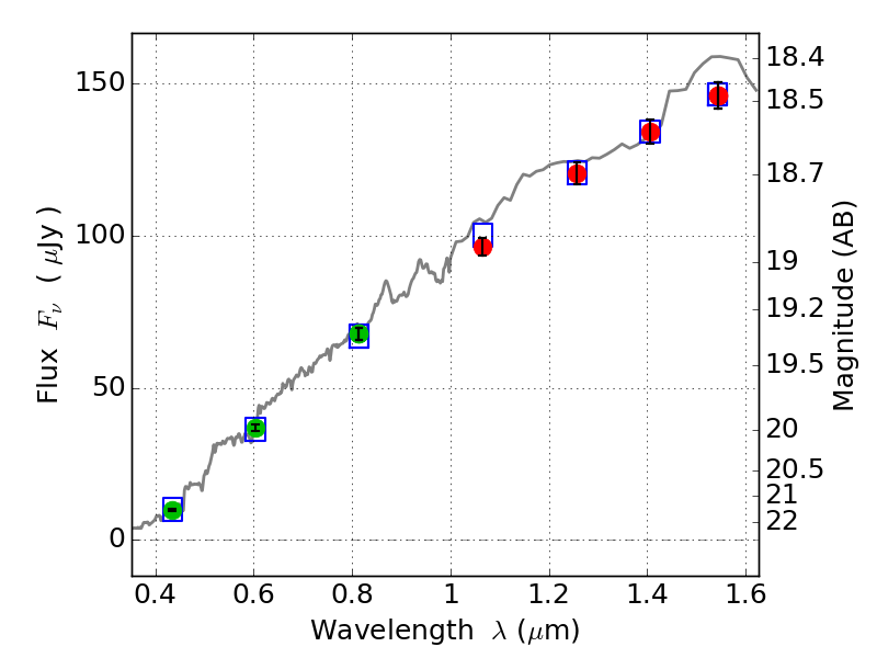
ABELL2163 ACS+IR detection object #4431

Color images and BPZ results
Catalog: 4431.cat
Black segments are analyzed here.   Roll mouse over color images to view segments.
Best viewed in a wide browser window (1200 pixels or more).   Download SED & P(z) plots to view larger versions.
In P(z) plots: Yellow lines mark the cluster redshift z = 0.203,  

Object #4431   x,y = (2835, 3556)   RA, Dec = (16:15:48.096, -6:08:51.36) = (243.95040, -6.14760)   BPZ = 0.152 [0.112--0.180]   type = 4.60 (ES0_B10 - Ell4_A_0)   chisq2 = 0.02   ODDS = 0.99   z_cluster = 0.203