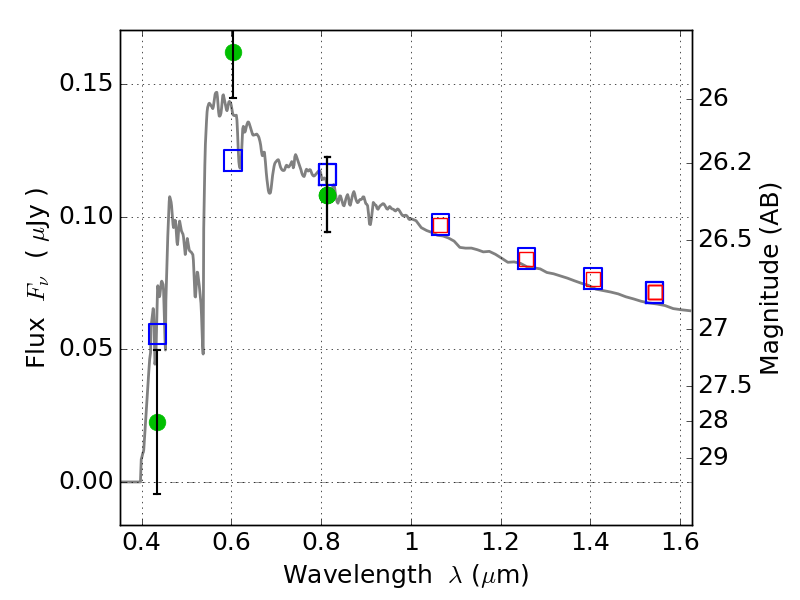
ABELL2163 ACS+IR detection object #4276

Color images and BPZ results
Catalog: 4276.cat
Black segments are analyzed here.   Roll mouse over color images to view segments.
Best viewed in a wide browser window (1200 pixels or more).   Download SED & P(z) plots to view larger versions.
In P(z) plots: Yellow lines mark the cluster redshift z = 0.203,  

Object #4276   x,y = (1199, 3724)   RA, Dec = (16:15:54.672, -6:08:41.28) = (243.97780, -6.14480)   BPZ = 3.420 [0.305--3.720]   type = 11.00 (SB11_A_0_l)   chisq2 = 3.27   ODDS = 0.41   z_cluster = 0.203