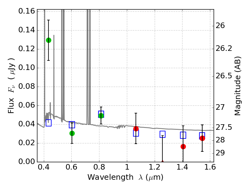
ABELL2163 ACS+IR detection object #4217

Color images and BPZ results
Catalog: 4217.cat
Black segments are analyzed here.   Roll mouse over color images to view segments.
Best viewed in a wide browser window (1200 pixels or more).   Download SED & P(z) plots to view larger versions.
In P(z) plots: Yellow lines mark the cluster redshift z = 0.203,  

Object #4217   x,y = (3342, 3709)   RA, Dec = (16:15:46.056, -6:08:42.00) = (243.94190, -6.14500)   BPZ = 0.095 [0.084--2.722]   type = 11.00 (SB11_A_0_l)   chisq2 = 2.34   ODDS = 0.10   z_cluster = 0.203