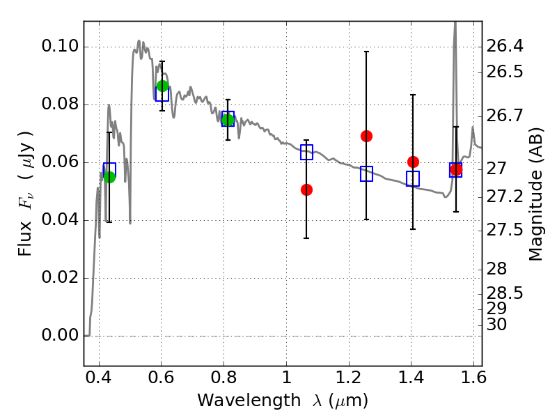
ABELL2163 ACS+IR detection object #4212

Color images and BPZ results
Catalog: 4212.cat
Black segments are analyzed here.   Roll mouse over color images to view segments.
Best viewed in a wide browser window (1200 pixels or more).   Download SED & P(z) plots to view larger versions.
In P(z) plots: Yellow lines mark the cluster redshift z = 0.203,  

Object #4212   x,y = (3681, 3705)   RA, Dec = (16:15:44.688, -6:08:42.36) = (243.93620, -6.14510)   BPZ = 3.131 [0.292--3.457]   type = 10.70 (SB11_A_0_l - SB3_B10)   chisq2 = 0.11   ODDS = 0.46   z_cluster = 0.203