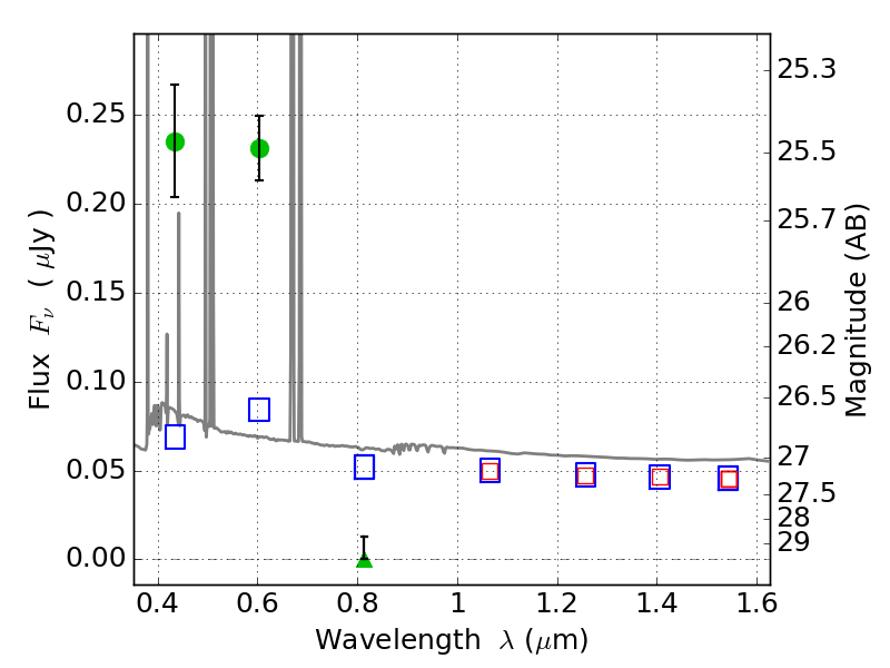
ABELL2163 ACS+IR detection object #421

Color images and BPZ results
Catalog: 421.cat
Black segments are analyzed here.   Roll mouse over color images to view segments.
Best viewed in a wide browser window (1200 pixels or more).   Download SED & P(z) plots to view larger versions.
In P(z) plots: Yellow lines mark the cluster redshift z = 0.203,  

Object #421   x,y = (3483, 959)   RA, Dec = (16:15:45.480, -6:11:27.24) = (243.93950, -6.19090)   BPZ = 0.021 [0.010--2.078]   type = 11.00 (SB11_A_0_l)   chisq2 = 63.71   ODDS = 0.79   z_cluster = 0.203