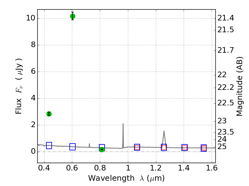
ABELL2163 ACS+IR detection object #4191

Color images and BPZ results
Catalog: 4191.cat
Black segments are analyzed here.   Roll mouse over color images to view segments.
Best viewed in a wide browser window (1200 pixels or more).   Download SED & P(z) plots to view larger versions.
In P(z) plots: Yellow lines mark the cluster redshift z = 0.203,  

Object #4191   x,y = (5769, 3911)   RA, Dec = (16:15:36.288, -6:08:30.12) = (243.90120, -6.14170)   BPZ = 1.593 [1.481--2.017]   type = 11.00 (SB11_A_0_l)   chisq2 = 759.30   ODDS = 0.70   z_cluster = 0.203