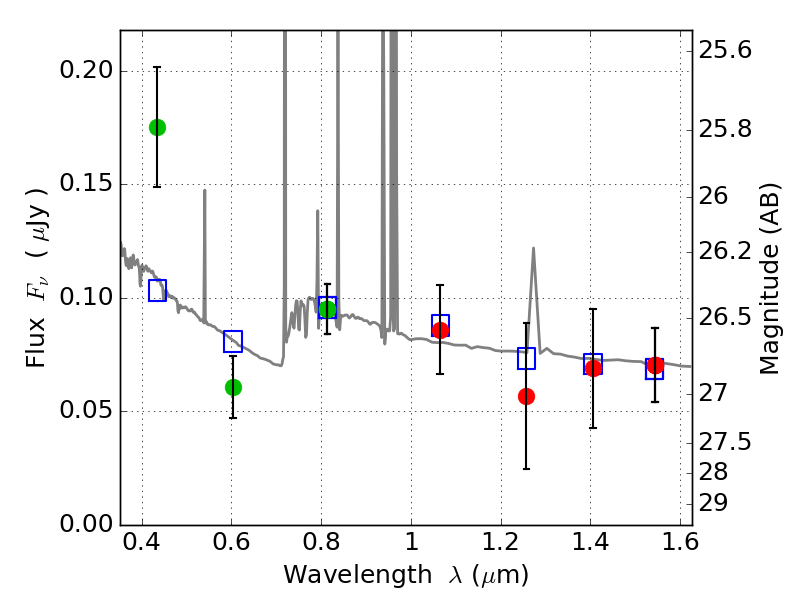
ABELL2163 ACS+IR detection object #4006

Color images and BPZ results
Catalog: 4006.cat
Black segments are analyzed here.   Roll mouse over color images to view segments.
Best viewed in a wide browser window (1200 pixels or more).   Download SED & P(z) plots to view larger versions.
In P(z) plots: Yellow lines mark the cluster redshift z = 0.203,  

Object #4006   x,y = (2437, 3822)   RA, Dec = (16:15:49.704, -6:08:35.52) = (243.95710, -6.14320)   BPZ = 0.928 [0.485--1.930]   type = 11.00 (SB11_A_0_l)   chisq2 = 1.13   ODDS = 0.43   z_cluster = 0.203