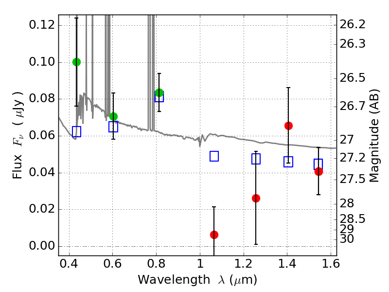
ABELL2163 ACS+IR detection object #4004

Color images and BPZ results
Catalog: 4004.cat
Black segments are analyzed here.   Roll mouse over color images to view segments.
Best viewed in a wide browser window (1200 pixels or more).   Download SED & P(z) plots to view larger versions.
In P(z) plots: Yellow lines mark the cluster redshift z = 0.203,  

Object #4004   x,y = (3117, 3944)   RA, Dec = (16:15:46.968, -6:08:27.96) = (243.94570, -6.14110)   BPZ = 0.170 [0.081--0.340]   type = 11.00 (SB11_A_0_l)   chisq2 = 1.44   ODDS = 0.48   z_cluster = 0.203