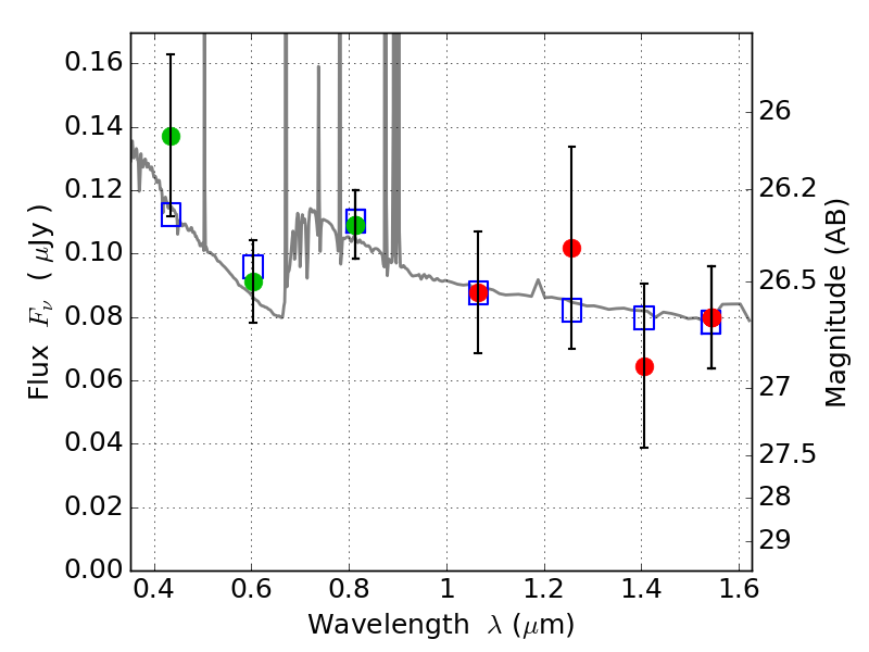
ABELL2163 ACS+IR detection object #3901

Color images and BPZ results
Catalog: 3901.cat
Black segments are analyzed here.   Roll mouse over color images to view segments.
Best viewed in a wide browser window (1200 pixels or more).   Download SED & P(z) plots to view larger versions.
In P(z) plots: Yellow lines mark the cluster redshift z = 0.203,  

Object #3901   x,y = (4661, 3950)   RA, Dec = (16:15:40.752, -6:08:27.60) = (243.91980, -6.14100)   BPZ = 0.799 [0.275--2.512]   type = 11.00 (SB11_A_0_l)   chisq2 = 0.21   ODDS = 0.28   z_cluster = 0.203