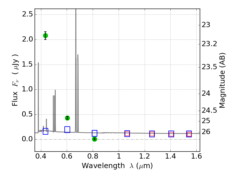
ABELL2163 ACS+IR detection object #3609

Color images and BPZ results
Catalog: 3609.cat
Black segments are analyzed here.   Roll mouse over color images to view segments.
Best viewed in a wide browser window (1200 pixels or more).   Download SED & P(z) plots to view larger versions.
In P(z) plots: Yellow lines mark the cluster redshift z = 0.203,  

Object #3609   x,y = (5589, 4220)   RA, Dec = (16:15:37.008, -6:08:11.40) = (243.90420, -6.13650)   BPZ = 0.019 [0.010--1.661]   type = 11.00 (SB11_A_0_l)   chisq2 = 361.30   ODDS = 0.95   z_cluster = 0.203