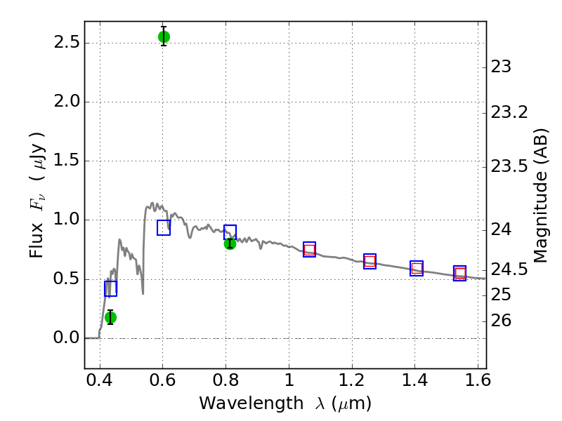
ABELL2163 ACS+IR detection object #335

Color images and BPZ results
Catalog: 335.cat
Black segments are analyzed here.   Roll mouse over color images to view segments.
Best viewed in a wide browser window (1200 pixels or more).   Download SED & P(z) plots to view larger versions.
In P(z) plots: Yellow lines mark the cluster redshift z = 0.203,  

Object #335   x,y = (3593, 833)   RA, Dec = (16:15:45.048, -6:11:34.80) = (243.93770, -6.19300)   BPZ = 3.431 [3.289--3.548]   type = 11.00 (SB11_A_0_l)   chisq2 = 132.40   ODDS = 0.99   z_cluster = 0.203