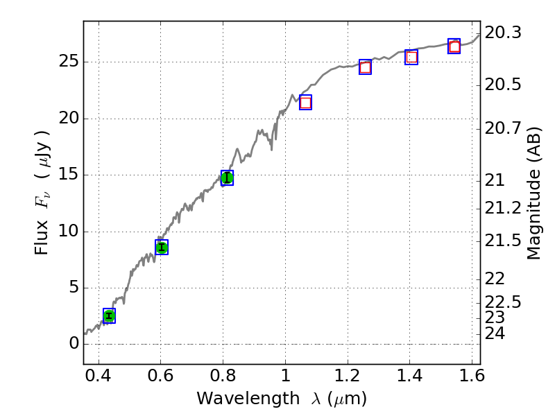
ABELL2163 ACS+IR detection object #3323

Color images and BPZ results
Catalog: 3323.cat
Black segments are analyzed here.   Roll mouse over color images to view segments.
Best viewed in a wide browser window (1200 pixels or more).   Download SED & P(z) plots to view larger versions.
In P(z) plots: Yellow lines mark the cluster redshift z = 0.203,  

Object #3323   x,y = (865, 4202)   RA, Dec = (16:15:56.016, -6:08:12.48) = (243.98340, -6.13680)   BPZ = 0.122 [0.064--0.260]   type = 3.00 (Ell5_A_0)   chisq2 = 0.00   ODDS = 0.85   z_cluster = 0.203