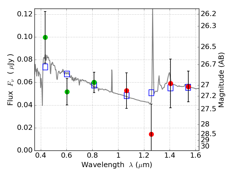
ABELL2163 ACS+IR detection object #3196

Color images and BPZ results
Catalog: 3196.cat
Black segments are analyzed here.   Roll mouse over color images to view segments.
Best viewed in a wide browser window (1200 pixels or more).   Download SED & P(z) plots to view larger versions.
In P(z) plots: Yellow lines mark the cluster redshift z = 0.203,  

Object #3196   x,y = (2574, 4456)   RA, Dec = (16:15:49.152, -6:07:57.36) = (243.95480, -6.13260)   BPZ = 2.397 [0.488--3.038]   type = 10.60 (SB11_A_0_l - SB3_B10)   chisq2 = 0.61   ODDS = 0.20   z_cluster = 0.203