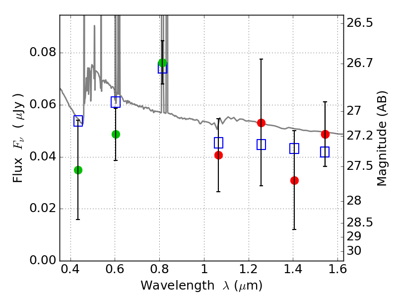
ABELL2163 ACS+IR detection object #3179

Color images and BPZ results
Catalog: 3179.cat
Black segments are analyzed here.   Roll mouse over color images to view segments.
Best viewed in a wide browser window (1200 pixels or more).   Download SED & P(z) plots to view larger versions.
In P(z) plots: Yellow lines mark the cluster redshift z = 0.203,  

Object #3179   x,y = (2262, 4332)   RA, Dec = (16:15:50.400, -6:08:04.92) = (243.96000, -6.13470)   BPZ = 0.236 [0.100--4.252]   type = 11.00 (SB11_A_0_l)   chisq2 = 0.46   ODDS = 0.32   z_cluster = 0.203