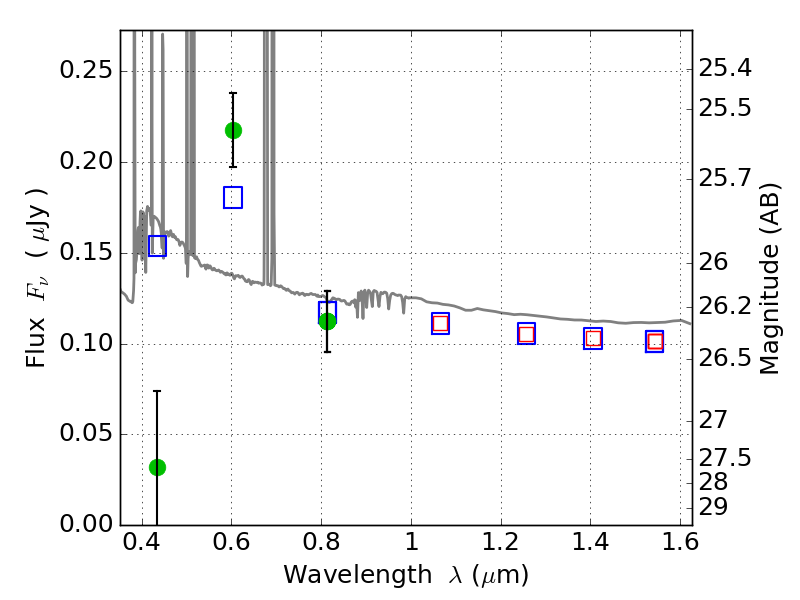
ABELL2163 ACS+IR detection object #3046

Color images and BPZ results
Catalog: 3046.cat
Black segments are analyzed here.   Roll mouse over color images to view segments.
Best viewed in a wide browser window (1200 pixels or more).   Download SED & P(z) plots to view larger versions.
In P(z) plots: Yellow lines mark the cluster redshift z = 0.203,  

Object #3046   x,y = (5354, 4583)   RA, Dec = (16:15:37.968, -6:07:49.80) = (243.90820, -6.13050)   BPZ = 0.033 [0.015--3.409]   type = 11.00 (SB11_A_0_l)   chisq2 = 5.23   ODDS = 0.26   z_cluster = 0.203