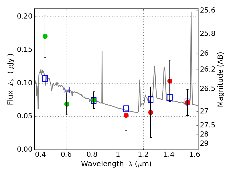
ABELL2163 ACS+IR detection object #3029

Color images and BPZ results
Catalog: 3029.cat
Black segments are analyzed here.   Roll mouse over color images to view segments.
Best viewed in a wide browser window (1200 pixels or more).   Download SED & P(z) plots to view larger versions.
In P(z) plots: Yellow lines mark the cluster redshift z = 0.203,  

Object #3029   x,y = (2382, 4407)   RA, Dec = (16:15:49.920, -6:08:00.24) = (243.95800, -6.13340)   BPZ = 2.140 [0.844--2.701]   type = 10.80 (SB11_A_0_l - SB3_B10)   chisq2 = 0.78   ODDS = 0.22   z_cluster = 0.203