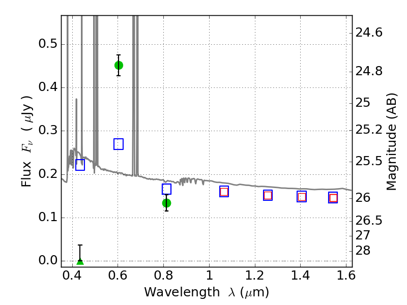
ABELL2163 ACS+IR detection object #2787

Color images and BPZ results
Catalog: 2787.cat
Black segments are analyzed here.   Roll mouse over color images to view segments.
Best viewed in a wide browser window (1200 pixels or more).   Download SED & P(z) plots to view larger versions.
In P(z) plots: Yellow lines mark the cluster redshift z = 0.203,  

Object #2787   x,y = (642, 4516)   RA, Dec = (16:15:56.904, -6:07:53.76) = (243.98710, -6.13160)   BPZ = 0.019 [0.010--0.044]   type = 11.00 (SB11_A_0_l)   chisq2 = 34.84   ODDS = 1.00   z_cluster = 0.203