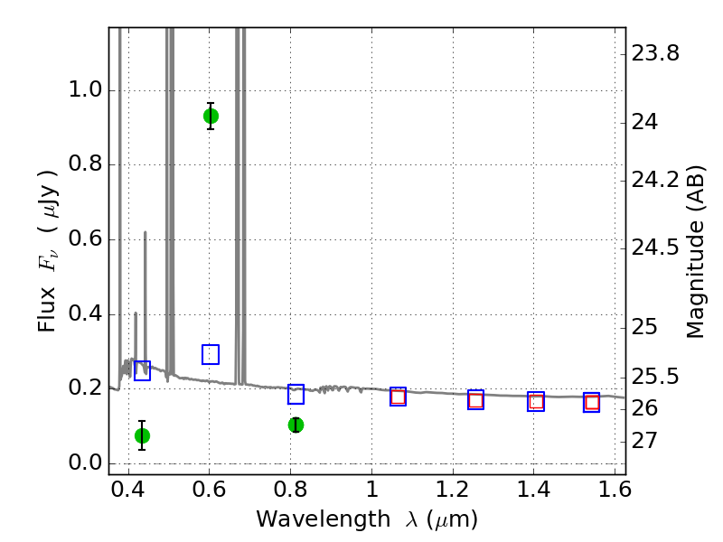
ABELL2163 ACS+IR detection object #2607

Color images and BPZ results
Catalog: 2607.cat
Black segments are analyzed here.   Roll mouse over color images to view segments.
Best viewed in a wide browser window (1200 pixels or more).   Download SED & P(z) plots to view larger versions.
In P(z) plots: Yellow lines mark the cluster redshift z = 0.203,  

Object #2607   x,y = (571, 4615)   RA, Dec = (16:15:57.192, -6:07:47.64) = (243.98830, -6.12990)   BPZ = 0.017 [0.010--0.033]   type = 11.00 (SB11_A_0_l)   chisq2 = 153.40   ODDS = 1.00   z_cluster = 0.203