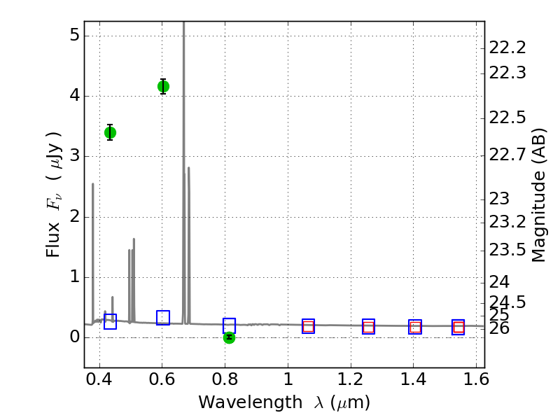
ABELL2163 ACS+IR detection object #2509

Color images and BPZ results
Catalog: 2509.cat
Black segments are analyzed here.   Roll mouse over color images to view segments.
Best viewed in a wide browser window (1200 pixels or more).   Download SED & P(z) plots to view larger versions.
In P(z) plots: Yellow lines mark the cluster redshift z = 0.203,  

Object #2509   x,y = (4723, 4671)   RA, Dec = (16:15:40.488, -6:07:44.40) = (243.91870, -6.12900)   BPZ = 0.018 [0.010--0.045]   type = 11.00 (SB11_A_0_l)   chisq2 = 809.50   ODDS = 0.98   z_cluster = 0.203