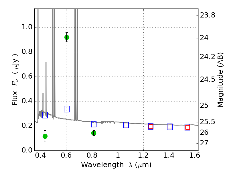
ABELL2163 ACS+IR detection object #2336

Color images and BPZ results
Catalog: 2336.cat
Black segments are analyzed here.   Roll mouse over color images to view segments.
Best viewed in a wide browser window (1200 pixels or more).   Download SED & P(z) plots to view larger versions.
In P(z) plots: Yellow lines mark the cluster redshift z = 0.203,  

Object #2336   x,y = (4680, 4775)   RA, Dec = (16:15:40.680, -6:07:38.28) = (243.91950, -6.12730)   BPZ = 0.017 [0.010--0.034]   type = 11.00 (SB11_A_0_l)   chisq2 = 103.50   ODDS = 1.00   z_cluster = 0.203