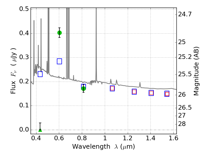
ABELL2163 ACS+IR detection object #2266

Color images and BPZ results
Catalog: 2266.cat
Black segments are analyzed here.   Roll mouse over color images to view segments.
Best viewed in a wide browser window (1200 pixels or more).   Download SED & P(z) plots to view larger versions.
In P(z) plots: Yellow lines mark the cluster redshift z = 0.203,  

Object #2266   x,y = (335, 5003)   RA, Dec = (16:15:58.152, -6:07:24.60) = (243.99230, -6.12350)   BPZ = 0.019 [0.010--3.378]   type = 10.90 (SB11_A_0_l - SB3_B10)   chisq2 = 32.47   ODDS = 0.94   z_cluster = 0.203