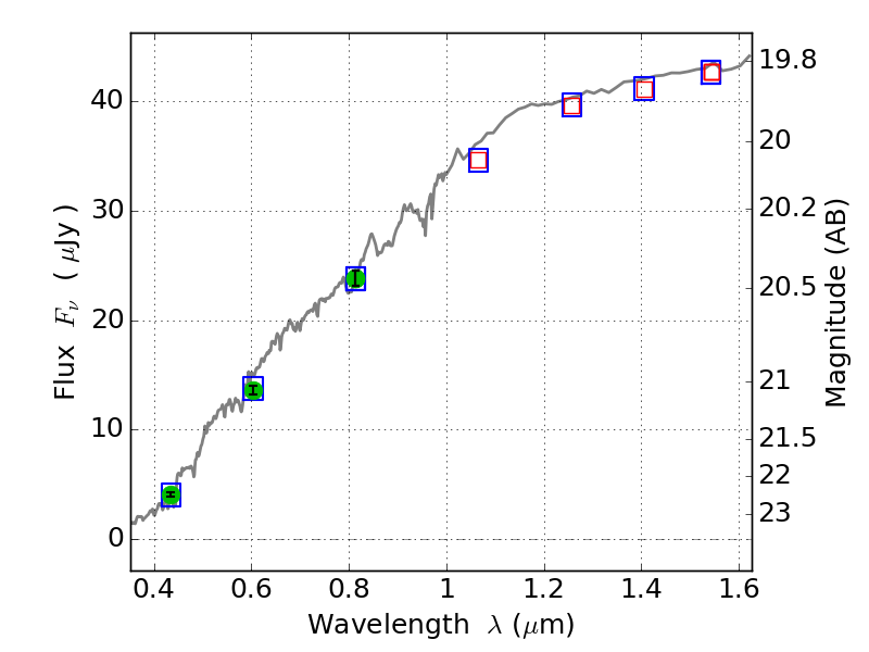
ABELL2163 ACS+IR detection object #2229

Color images and BPZ results
Catalog: 2229.cat
Black segments are analyzed here.   Roll mouse over color images to view segments.
Best viewed in a wide browser window (1200 pixels or more).   Download SED & P(z) plots to view larger versions.
In P(z) plots: Yellow lines mark the cluster redshift z = 0.203,  

Object #2229   x,y = (4122, 4860)   RA, Dec = (16:15:42.912, -6:07:33.24) = (243.92880, -6.12590)   BPZ = 0.123 [0.071--0.209]   type = 2.90 (Ell5_A_0 - Ell6_A_0)   chisq2 = 0.00   ODDS = 0.91   z_cluster = 0.203