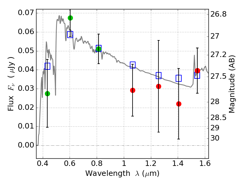
ABELL2163 ACS+IR detection object #2075

Color images and BPZ results
Catalog: 2075.cat
Black segments are analyzed here.   Roll mouse over color images to view segments.
Best viewed in a wide browser window (1200 pixels or more).   Download SED & P(z) plots to view larger versions.
In P(z) plots: Yellow lines mark the cluster redshift z = 0.203,  

Object #2075   x,y = (2142, 4991)   RA, Dec = (16:15:50.880, -6:07:25.32) = (243.96200, -6.12370)   BPZ = 3.084 [0.205--3.663]   type = 10.90 (SB11_A_0_l - SB3_B10)   chisq2 = 0.36   ODDS = 0.33   z_cluster = 0.203