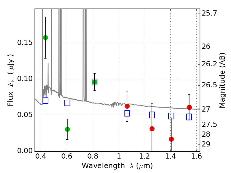
ABELL2163 ACS+IR detection object #2056

Color images and BPZ results
Catalog: 2056.cat
Black segments are analyzed here.   Roll mouse over color images to view segments.
Best viewed in a wide browser window (1200 pixels or more).   Download SED & P(z) plots to view larger versions.
In P(z) plots: Yellow lines mark the cluster redshift z = 0.203,  

Object #2056   x,y = (3252, 5154)   RA, Dec = (16:15:46.416, -6:07:15.60) = (243.94340, -6.12100)   BPZ = 0.106 [0.089--0.990]   type = 11.00 (SB11_A_0_l)   chisq2 = 2.20   ODDS = 0.24   z_cluster = 0.203