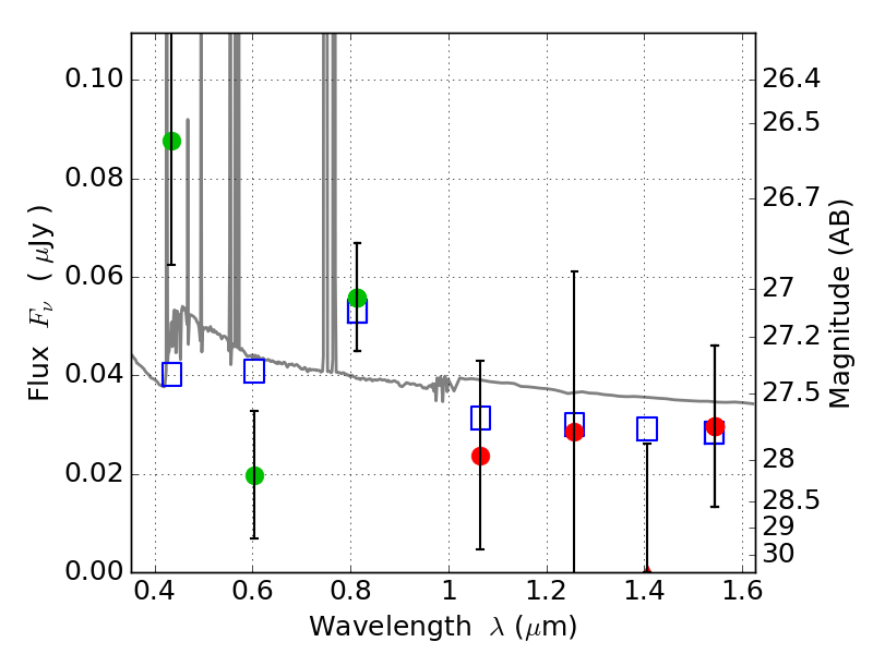
ABELL2163 ACS+IR detection object #2046

Color images and BPZ results
Catalog: 2046.cat
Black segments are analyzed here.   Roll mouse over color images to view segments.
Best viewed in a wide browser window (1200 pixels or more).   Download SED & P(z) plots to view larger versions.
In P(z) plots: Yellow lines mark the cluster redshift z = 0.203,  

Object #2046   x,y = (3290, 5157)   RA, Dec = (16:15:46.272, -6:07:15.24) = (243.94280, -6.12090)   BPZ = 0.138 [0.089--3.418]   type = 11.00 (SB11_A_0_l)   chisq2 = 0.93   ODDS = 0.25   z_cluster = 0.203