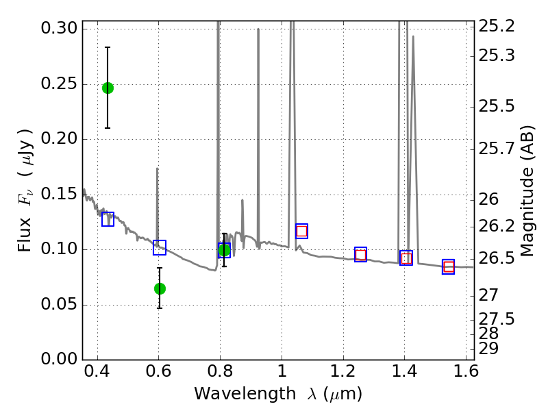
ABELL2163 ACS+IR detection object #2029

Color images and BPZ results
Catalog: 2029.cat
Black segments are analyzed here.   Roll mouse over color images to view segments.
Best viewed in a wide browser window (1200 pixels or more).   Download SED & P(z) plots to view larger versions.
In P(z) plots: Yellow lines mark the cluster redshift z = 0.203,  

Object #2029   x,y = (4043, 5047)   RA, Dec = (16:15:43.224, -6:07:21.72) = (243.93010, -6.12270)   BPZ = 1.135 [0.682--2.448]   type = 11.00 (SB11_A_0_l)   chisq2 = 6.72   ODDS = 0.17   z_cluster = 0.203