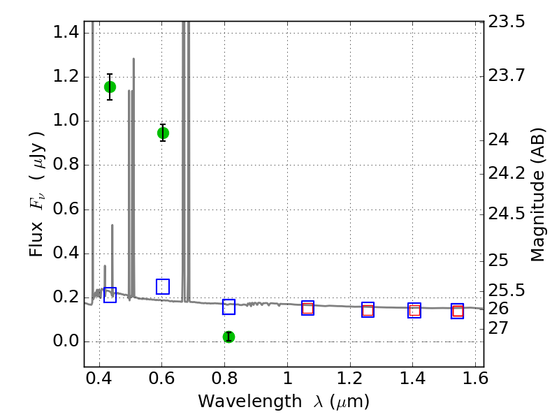
ABELL2163 ACS+IR detection object #1943

Color images and BPZ results
Catalog: 1943.cat
Black segments are analyzed here.   Roll mouse over color images to view segments.
Best viewed in a wide browser window (1200 pixels or more).   Download SED & P(z) plots to view larger versions.
In P(z) plots: Yellow lines mark the cluster redshift z = 0.203,  

Object #1943   x,y = (251, 5120)   RA, Dec = (16:15:58.488, -6:07:17.40) = (243.99370, -6.12150)   BPZ = 0.017 [0.010--0.034]   type = 11.00 (SB11_A_0_l)   chisq2 = 320.10   ODDS = 1.00   z_cluster = 0.203