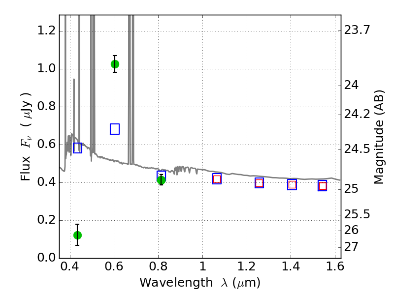
ABELL2163 ACS+IR detection object #185

Color images and BPZ results
Catalog: 185.cat
Black segments are analyzed here.   Roll mouse over color images to view segments.
Best viewed in a wide browser window (1200 pixels or more).   Download SED & P(z) plots to view larger versions.
In P(z) plots: Yellow lines mark the cluster redshift z = 0.203,  

Object #185   x,y = (3789, 589)   RA, Dec = (16:15:44.256, -6:11:49.56) = (243.93440, -6.19710)   BPZ = 0.017 [0.010--0.043]   type = 11.00 (SB11_A_0_l)   chisq2 = 35.30   ODDS = 1.00   z_cluster = 0.203