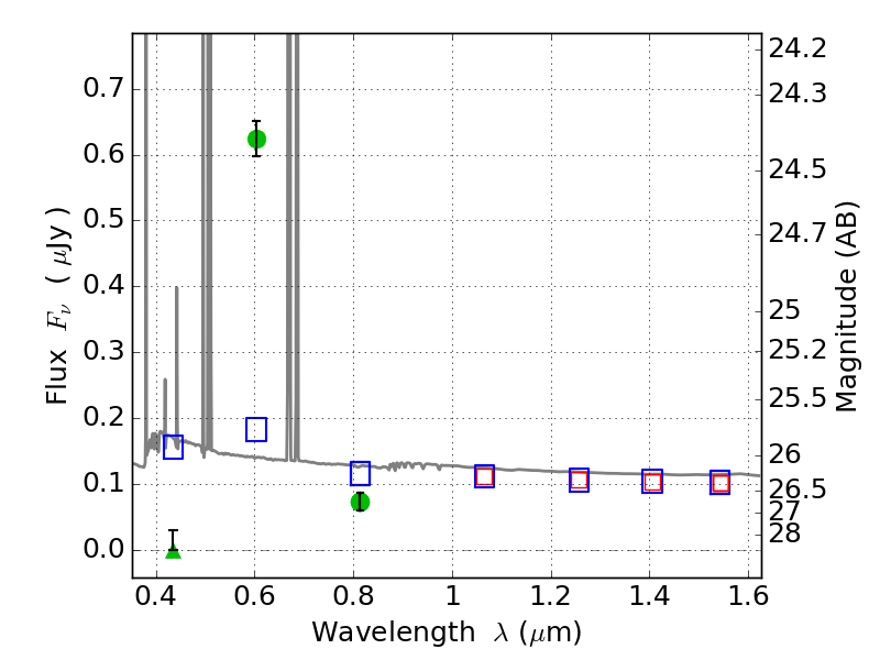
ABELL2163 ACS+IR detection object #1588

Color images and BPZ results
Catalog: 1588.cat
Black segments are analyzed here.   Roll mouse over color images to view segments.
Best viewed in a wide browser window (1200 pixels or more).   Download SED & P(z) plots to view larger versions.
In P(z) plots: Yellow lines mark the cluster redshift z = 0.203,  

Object #1588   x,y = (3860, 6062)   RA, Dec = (16:15:43.968, -6:06:20.88) = (243.93320, -6.10580)   BPZ = 0.017 [0.010--0.037]   type = 11.00 (SB11_A_0_l)   chisq2 = 132.50   ODDS = 1.00   z_cluster = 0.203