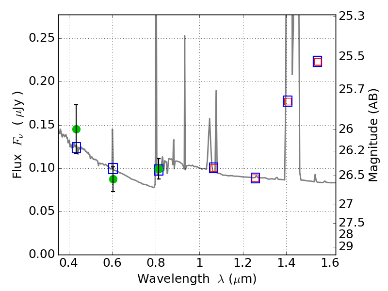
ABELL2163 ACS+IR detection object #1528

Color images and BPZ results
Catalog: 1528.cat
Black segments are analyzed here.   Roll mouse over color images to view segments.
Best viewed in a wide browser window (1200 pixels or more).   Download SED & P(z) plots to view larger versions.
In P(z) plots: Yellow lines mark the cluster redshift z = 0.203,  

Object #1528   x,y = (2399, 6119)   RA, Dec = (16:15:49.848, -6:06:17.64) = (243.95770, -6.10490)   BPZ = 1.150 [0.490--2.634]   type = 10.90 (SB11_A_0_l - SB3_B10)   chisq2 = 0.42   ODDS = 0.13   z_cluster = 0.203