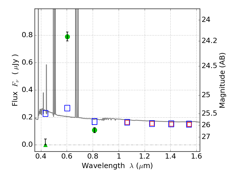
ABELL2163 ACS+IR detection object #1435

Color images and BPZ results
Catalog: 1435.cat
Black segments are analyzed here.   Roll mouse over color images to view segments.
Best viewed in a wide browser window (1200 pixels or more).   Download SED & P(z) plots to view larger versions.
In P(z) plots: Yellow lines mark the cluster redshift z = 0.203,  

Object #1435   x,y = (3750, 6226)   RA, Dec = (16:15:44.400, -6:06:11.16) = (243.93500, -6.10310)   BPZ = 0.017 [0.010--0.036]   type = 11.00 (SB11_A_0_l)   chisq2 = 117.10   ODDS = 1.00   z_cluster = 0.203