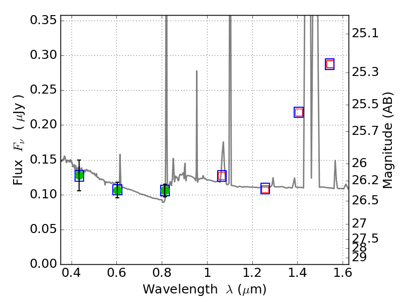
ABELL2163 ACS+IR detection object #1324

Color images and BPZ results
Catalog: 1324.cat
Black segments are analyzed here.   Roll mouse over color images to view segments.
Best viewed in a wide browser window (1200 pixels or more).   Download SED & P(z) plots to view larger versions.
In P(z) plots: Yellow lines mark the cluster redshift z = 0.203,  

Object #1324   x,y = (2314, 6483)   RA, Dec = (16:15:50.184, -6:05:55.68) = (243.95910, -6.09880)   BPZ = 1.202 [0.529--2.746]   type = 10.60 (SB11_A_0_l - SB3_B10)   chisq2 = 0.00   ODDS = 0.13   z_cluster = 0.203