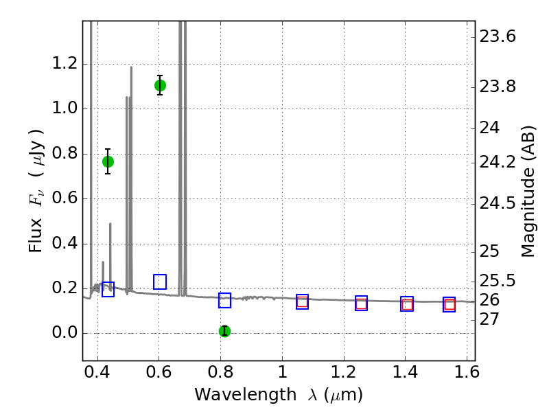
ABELL2163 ACS+IR detection object #1073

Color images and BPZ results
Catalog: 1073.cat
Black segments are analyzed here.   Roll mouse over color images to view segments.
Best viewed in a wide browser window (1200 pixels or more).   Download SED & P(z) plots to view larger versions.
In P(z) plots: Yellow lines mark the cluster redshift z = 0.203,  

Object #1073   x,y = (3378, 6853)   RA, Dec = (16:15:45.912, -6:05:33.36) = (243.94130, -6.09260)   BPZ = 0.017 [0.010--0.035]   type = 11.00 (SB11_A_0_l)   chisq2 = 282.50   ODDS = 1.00   z_cluster = 0.203