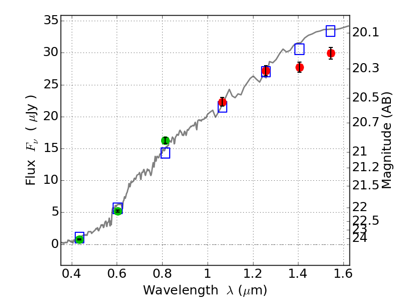
ABELL2163 IR detection object #496

Color images and BPZ results
Catalog: 496.cat
Black segments are analyzed here.   Roll mouse over color images to view segments.
Best viewed in a wide browser window (1200 pixels or more).   Download SED & P(z) plots to view larger versions.
In P(z) plots: Yellow lines mark the cluster redshift z = 0.203,  

Object #496   x,y = (3783, 4673)   RA, Dec = (16:15:44.280, -6:07:44.40) = (243.93450, -6.12900)   BPZ = 0.446 [0.407--0.477]   type = 4.00 (Ell4_A_0)   chisq2 = 0.98   ODDS = 0.99   z_cluster = 0.203