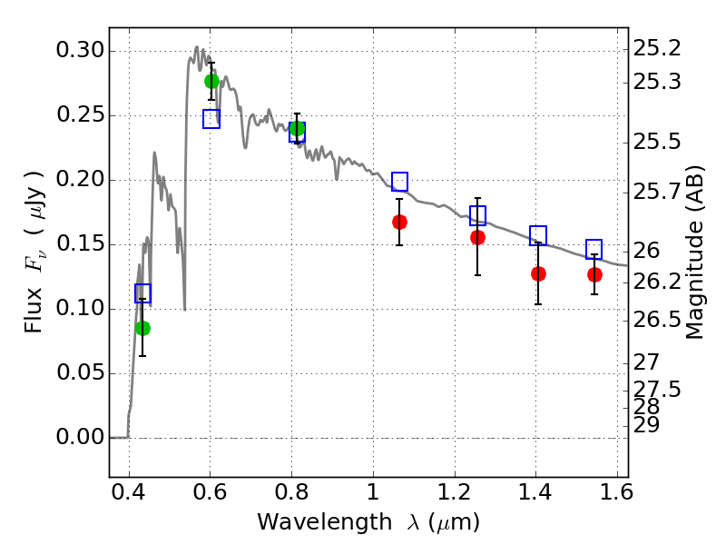
ABELL2163 IR detection object #478

Color images and BPZ results
Catalog: 478.cat
Black segments are analyzed here.   Roll mouse over color images to view segments.
Best viewed in a wide browser window (1200 pixels or more).   Download SED & P(z) plots to view larger versions.
In P(z) plots: Yellow lines mark the cluster redshift z = 0.203,  

Object #478   x,y = (1682, 4747)   RA, Dec = (16:15:52.728, -6:07:39.72) = (243.96970, -6.12770)   BPZ = 3.428 [3.295--3.599]   type = 11.00 (SB11_A_0_l)   chisq2 = 1.06   ODDS = 0.97   z_cluster = 0.203