ABELL2163 IR detection object #476
Color images and BPZ results
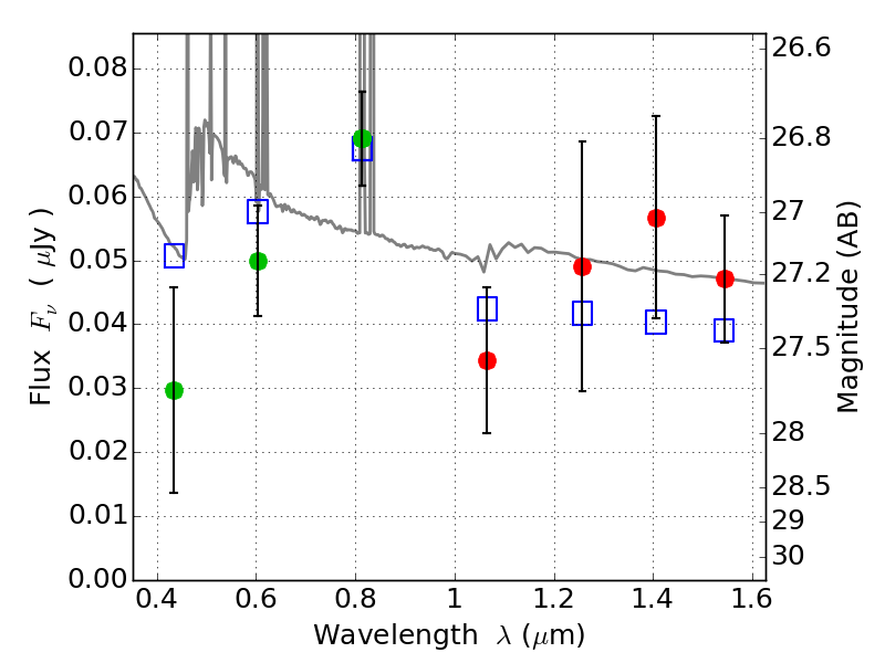
Catalog: 476.cat
Black segments are analyzed here. Roll mouse over color images to view segments.
Best viewed in a wide browser window (1200 pixels or more). Download SED & P(z) plots to view larger versions.
In P(z) plots: Yellow lines mark the cluster redshift z = 0.203,
Object #476 x,y = (3559, 4721) RA, Dec = (16:15:45.192, -6:07:41.52) = (243.93830, -6.12820) BPZ = 0.237 [0.109--4.114] type = 11.00 (SB11_A_0_l) chisq2 = 0.73 ODDS = 0.26 z_cluster = 0.203