ABELL2163 IR detection object #437
Color images and BPZ results
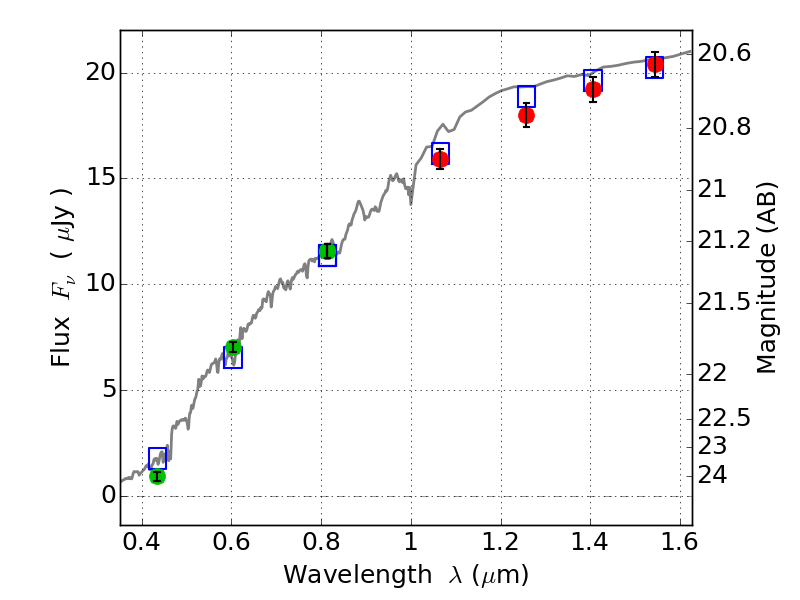
Catalog: 437.cat
Black segments are analyzed here. Roll mouse over color images to view segments.
Best viewed in a wide browser window (1200 pixels or more). Download SED & P(z) plots to view larger versions.
In P(z) plots: Yellow lines mark the cluster redshift z = 0.203,
Object #437 x,y = (2745, 4717) RA, Dec = (16:15:48.456, -6:07:41.88) = (243.95190, -6.12830) BPZ = 0.168 [0.113--0.200] type = 4.00 (Ell4_A_0) chisq2 = 0.18 ODDS = 0.96 z_cluster = 0.203