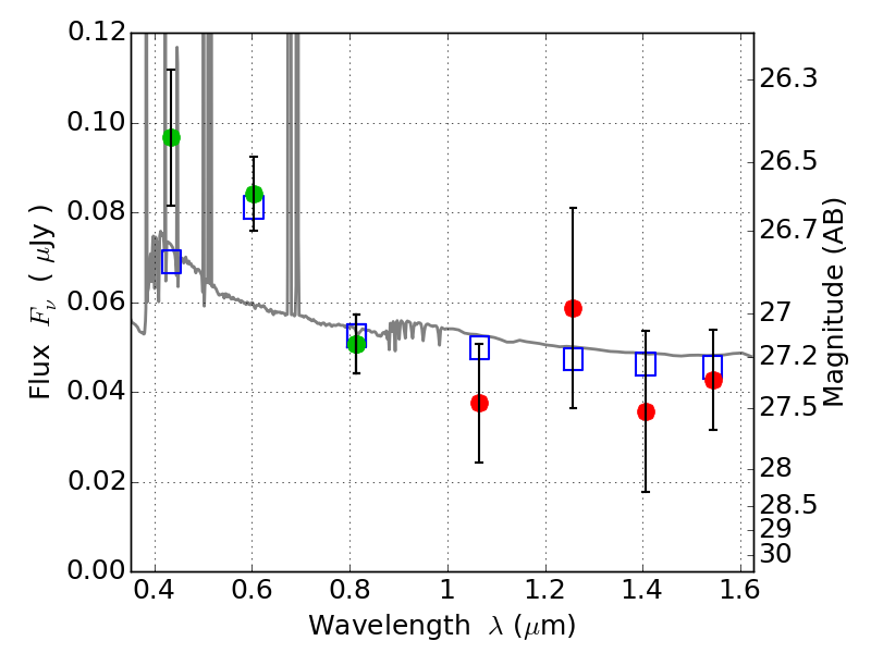
ABELL2163 IR detection object #360

Color images and BPZ results
Catalog: 360.cat
Black segments are analyzed here.   Roll mouse over color images to view segments.
Best viewed in a wide browser window (1200 pixels or more).   Download SED & P(z) plots to view larger versions.
In P(z) plots: Yellow lines mark the cluster redshift z = 0.203,  

Object #360   x,y = (1427, 5005)   RA, Dec = (16:15:53.760, -6:07:24.60) = (243.97400, -6.12350)   BPZ = 0.033 [0.029--2.716]   type = 11.00 (SB11_A_0_l)   chisq2 = 0.76   ODDS = 0.06   z_cluster = 0.203